题目内容
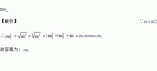
若m < 0,则=_______________
将△ABC的三个顶点的横坐标都加上-1,纵坐标不变,则所得图形与原图形的关系是( )
A. 将原图形向x轴的正方向平移了1个单位;
B. 将原图形向x轴的负方向平移了1个单位
C. 将原图形向y轴的正方向平移了1个单位
D. 将原图形向y轴的负方向平移了1个单位
已知△ABC的面积是60,请完成下列问题:
(1)如图1,若AD是△ABC的BC边上的中线,则△ABD的面积________ △ACD的面积(填“>”“<”或“=”)
(2)如图2,若CD、BE分别是△ABC的AB、AC边上的中线,求四边形ADOE的面积可以用如下方法:连接AO,由AD=DB得:S△ADO=S△BDO , 同理:S△CEO=S△AEO , 设S△ADO=x,S△CEO=y,则S△BDO=x,S△AEO=y由题意得:S△ABE=S△ABC=30,S△ADC=S△ABC=30,可列方程组为: , 解得,通过解这个方程组可得四边形ADOE的面积为________ .
阅读下面问题:
;
.
(1)求的值;
(2)求(为正整数)的值;
(3)计算:
若的整数部分是a,小数部分是b,则=_____.
化简的结果为( )
A. B. 30 C. D. 30
下列式子一定是二次根式的是( )
A. B. C. D.
三名初三学生坐在仅有的三个座位上,起身后重新就坐,恰好有两名同学没有回到原座位的概率为( )
把方程x+4y﹣5=0变形为用x的代数式表示y的形式,可得y=________,当x=3时,y=________.