题目内容
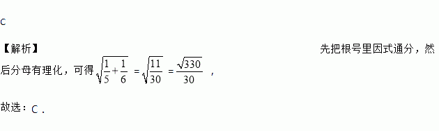
化简的结果为( )
A. B. 30 C. D. 30
如图,在等腰直角三角形和中,点为它们的直角顶点,当与有重叠部分时:
(1)①连接,如图1,求证: ;
②连接,如图2,求证: ;
(2)当与无重叠部分时:连接,如图3,当, 时,计算四边形面积的最大值,并说明理由.
如图,△ABC中,∠A=50°,O是BC的中点,以O为圆心,OB长为半径画弧,分别交AB,AC于点D,E,连接OD,OE,测量∠DOE的度数是( ).
A.50° B.60° C.70° D.80°
观察下列各式:①,②,③,……请用含的式子写出你猜想的规律:___________________________
若m < 0,则=_______________
若有意义,则m能取的最小整数值是( )
A. m=0 B. m=1 C. m=2 D. m=3
市某中学开展以“三创一办”为中心,以“校园文明”为主题的手抄报比赛.同学们积极参与,参赛同学每人交了一份得意作品,所有参赛作品均获奖,奖项分为一等奖、二等奖、三等奖和优秀奖,将获奖结果绘制成如下两幅统计图.请你根据图中所给信息解答下列问题:
(1)一等奖所占的百分比是__________.
(2)在此次比赛中,一共收到多少份参赛作品?请将条形统计图补充完整.
(3)各奖项获奖学生分别有多少人?
下列图形中,既是轴对称图形又是中心对称图形的是( )
A. B. C. D.
同学们每个星期都会听着国歌升国旗,但国歌歌词有多少个字可能大家都不知道.已知歌词数量是一个两位数,十位数是个位数的两倍,且十位数比个位数大4,则国歌歌词数有________ 个.