题目内容
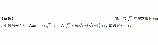
若的整数部分是a,小数部分是b,则=_____.
直线AB∥CD,∠B=23°,∠D=42°,则∠E=( )
A. 23° B. 42° C. 65° D. 19°
如图,长方形ABCD中,AB=4cm,BC=3cm,E为CD的中点.动点P从A点出发,以每秒1cm的速度沿A﹣B﹣C﹣E运动,最终到达点E.若点P运动的时间为x秒,则当x=__时,△APE的面积等于5.
下列说法中正确的是( )
A. 三角形三条高所在的直线交于一点
B. 有且只有一条直线与已知直线平行
C. 垂直于同一条直线的两条直线互相垂直
D. 从直线外一点到这条直线的垂线段,叫做这点到这条直线的距离
已知,,求下列代数式的值:
(1); (2).
若m < 0,则=_______________
如果,那么( )
A. B. C. D. x为一切实数
若,则_____。
解方程组:
(1); (2).