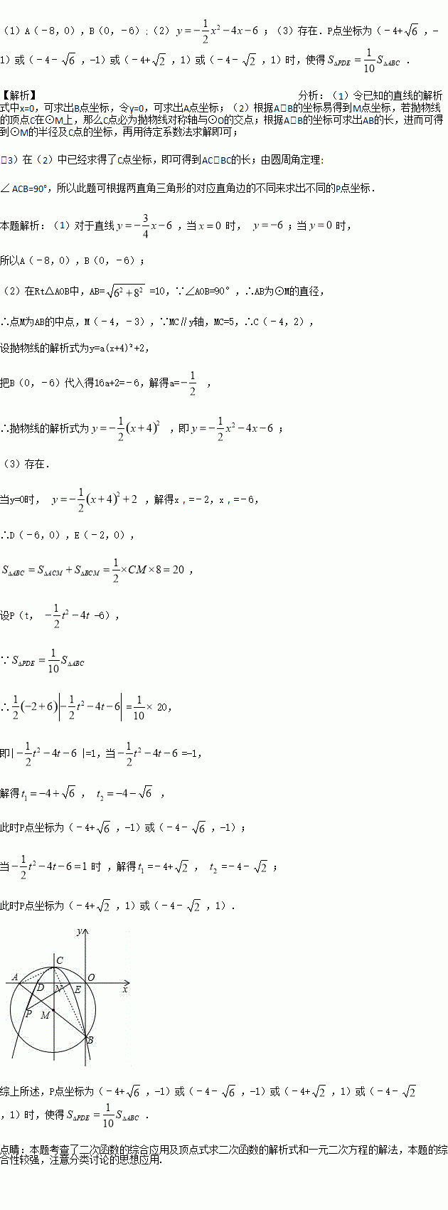
题目内容
如图,在平面直角坐标系中,圆M经过原点O,直线
与x轴、y轴分别相交于A,B两点.
![]()
(1)求出A,B两点的坐标;
(2)若有一抛物线的对称轴平行于y轴且经过点M,顶点C在圆M上,开口向下,且经过点B,求此抛物线的函数解析式;
(3)设(2)中的抛物线交
轴于D、E两点,在抛物线上是否存在点P,使得S△PDE=
S△ABC?若存在,请求出点P的坐标;若不存在,请说明理由.
练习册系列答案
相关题目
题目内容
如图,在平面直角坐标系中,圆M经过原点O,直线
与x轴、y轴分别相交于A,B两点.
![]()
(1)求出A,B两点的坐标;
(2)若有一抛物线的对称轴平行于y轴且经过点M,顶点C在圆M上,开口向下,且经过点B,求此抛物线的函数解析式;
(3)设(2)中的抛物线交
轴于D、E两点,在抛物线上是否存在点P,使得S△PDE=
S△ABC?若存在,请求出点P的坐标;若不存在,请说明理由.