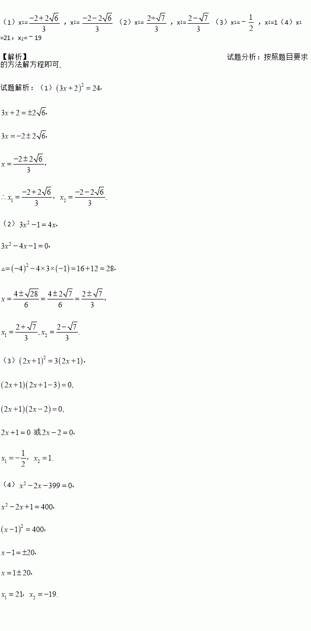
题目内容
按要求解方程.
(1)(3x+2)2=24(直接开方法)
(2)3x2﹣1=4x(公式法)
(3)(2x+1)2=3(2x+1)(因式分解法)
(4)x2﹣2x﹣399=0 (配方法)
若等腰三角形的一边是7,另一边是4,则此等腰三角形的周长是( ).
A.18 B.15 C.18或15 D.无法确定
足球比赛规定:胜一场得3分,平一场得1分,负一场得0分.某足球队共进行了6场比赛,得了12分,该队获胜的场数可能是( )
A. 1或2 B. 2或3 C. 3或4 D. 4或5
如图,将三角形ABC平移到三角形A′B′C′的位置(点B′在AC边上),若∠B=55°,则∠A′B′C′的度数为________.
下列各组图形可以通过平移互相得到的是( )
A. B. C. D.
已知x1,x2是方程3x2-2x+1=0两根,则 x1·x2=________.=
已知关于x的一元二次方程(a+c)x2+2bx+a﹣c=0,其中a、b、c分别为△ABC三边的长.下列关于这个方程的解和△ABC形状判断的结论错误的是( )
A. 如果x=﹣1是方程的根,则△ABC是等腰三角形
B. 如果方程有两个相等的实数根,则△ABC是直角三角形
C. 如果△ABC是等边三角形,方程的解是x=0或x=﹣1
D. 如果方程无实数解,则△ABC是锐角三角形
已知:如图,在矩形ABCD中,点E在边AB上,点F在边BC上,且BE=CF,EF⊥DF,求证:BF=CD.
一食堂需要购买盒子存放食物,盒子有A、B两种型号,单个盒子的容量和价格如表格所示.现有15升食物需要存放且要求每个盒子都要装满,由于A型号盒子正做促销活动:购买三个及三个以上可一次性每个返还现金1.5元,则该食堂购买盒子所需最少费用是__________.