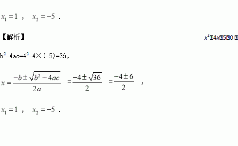
题目内容
解方程x2+4x-5=0.
下面的四个图形中,每个图形均由六个相同的小正方形组成,折叠后能围成正方体的是( )
A. B.
C. D.
如图,圆中的弦AB与弦CD垂直于点E,点F在上, ,直线MN过点D,且∠MDC=∠DFC,求证:直线MN是该圆的切线.
已知△ABC和△DEF关于点O对称,相应的对称点如图所示,则下列结论正确的是( )
A. AO=BO B. BO=EO
C. 点A关于点O的对称点是点D D. 点D 在BO的延长线上
如图,已知在矩形ABCD中,∠ADC的平分线DE与BC边交于点E,点P是线段DE上一定点(其中EP<PD). 若点F在CD边上(不与D重合),将∠DPF绕点P逆时针旋转90°后,角的两边PD、PF分别交线段DA于点H、G.
(1) 求证:PG=PF;
(2) 探究:DF、DG、DP之间有怎样的数量关系,并证明你的结论.
如图,AB是⊙O的直径,CD为⊙O的一条弦,且CD⊥AB于点E,已知CD=4,AE=1,则⊙O的半径为_________.
用配方法解方程,下列配方结果正确的是( )
A. B. C. D.
如图,△ABC≌△BAD,A与B,C与D是对应点,若AB=4cm,BD=4.5cm,AD=1.5cm,则BC=_______cm.
如图,在平面直角坐标系中,二次函数y=x2+bx+c的图象与x轴交于A、B两点,A点在原点的左侧,B点的坐标为(4,0),与y轴交于C(0,﹣4)点,点P是直线BC下方的抛物线上一动点.
(1)求这个二次函数的表达式.
(2)连结PO、PC,并把△POC沿CO翻折,得到四边形POP′C′,那么是否存在点P,使四边形POP′C′为菱形?若存在,请求出此时点P的坐标;若不存在,请说明理由.
(3)当点P运动到什么位置时,四边形ABPC的面积最大,并求出此时P点的坐标和四边形ABPC的最大面积.