题目内容
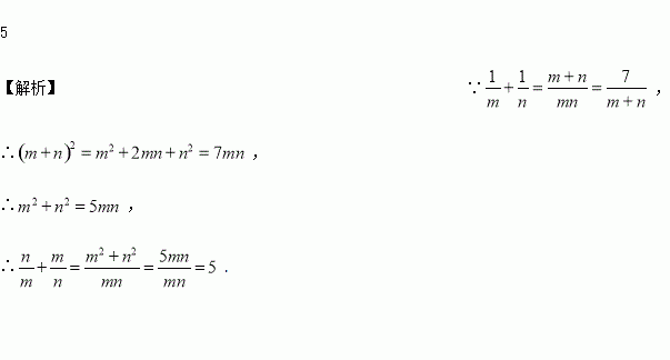
若,则的值为___________.
如果多边形的内角和是外角和的k倍,那么这个多边形的边数是( ).
A.k B.2k+1 C.2k+2 D.2k-2
已知,如图,点E,F在CD上,DE=CF,请从下列三个条件中选择两个作为已知条件,另一个作为结论,使命题成立,并给出证明:
①AC=BD;②∠AEC=∠BFD;③AC∥BD.
我选的条件是: (填序号).结论是: (填序号).
证明:
下列命题中正确的有( )个
①三个内角对应相等的两个三角形全等;
②三条边对应相等的两个三角形全等;
③有两角和一边分别对应相等的两个三角形全等;
④等底等高的两个三角形全等.
A. 1 B. 2 C. 3 D. 4
(2009年崇左)已知,求代数式的值.
计算: =____________ .
已知, 为实数,且=1, 1,设M=,N=,则M,N的大小关系是( )
A. M>N B. M=N C. M<N D. 无法确定
已知,求的值.
用一个平面去截圆柱体,则截面形状不可能是( )
A. 梯形 B. 三角形 C. 长方形 D. 圆