题目内容
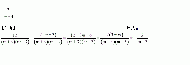
计算: =____________ .
如图,△ABC纸片DE折叠,当点A落在四边形BCDE内部时,则∠A与∠1+∠2之间有一种数量关系始终保持不变,请试着找一找这个规律,你发现的规律是 ( )
A. ∠A=∠1+∠2 B. 2∠A=∠1+∠2
C. 3∠A=2∠1+∠2 D. 3∠A=2(∠1+∠2)
如图,∠BOC=9°,点A在OB上,且OA=1,按下列要求画图:
以A为圆心,1为半径向右画弧交OC于点A1,得第1条线段AA1;再以A1为圆心,1为半径向右画弧交OB于点A2,得第2条线段A1A2;再以A2为圆心,1为半径向右画弧交OC于点A3,得第3条线段A2A3;…这样画下去,直到得第n条线段,之后就不能再画出符合要求的线段了,则n=______.
描述证明:
小明在研究数学问题时发现了一个有趣的现象:
(1)请你用数学表达式补充完整小明发现的这个有趣的现象;
(2)请你证明小明发现的这个有趣现象.
若,则的值为___________.
若,则等于( )
A. x-1 B. x+1 C. -x D. x
下列说法正确的是( )
A. 的系数为2,次数为3 B. 的系数为,次数为2
C. 的系数为5,次数为2 D. 的系数为3,次数为2
若,则.
已知:如图,在△ABC中,AC=BC,∠ACB=90°,点D是AB的中点,点E是AB边上一点,BF⊥CE于点F,交CD于点G,求证:AE=CG.