题目内容
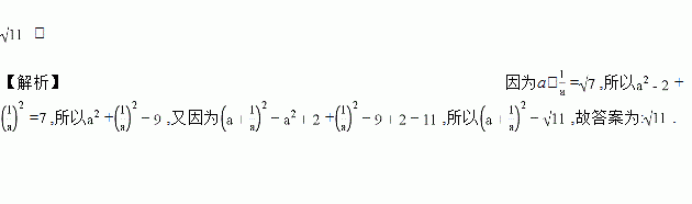
已知正实数a,满足a﹣=,则a+=_____.
已知a、b、d、c是成比例线段,a=4cm,b=6cm,d=9cm,则c=_____.
为了解小学生的体能情况,抽取了某小学同年级学生进行跳绳测试,将所得数据整理后,画出如图所示的频数直方图.已知图中从左到右前三个小组所占的百分比分别是10%,30%,40%,第一小组的频数为5,则第四小组所占的百分比是________,参加这次测试的学生有________人.
西柏坡是我国著名的红色旅游胜地,如果用统计图表示2017年“十一”黄金周期间西柏坡地区的气温变化情况,应利用( )
A. 条形统计图 B. 扇形统计图 C. 折线统计图 D. 频数分布直方图
如图,我国巡逻舰在南海B处例行巡逻,测得小岛A在舰艇的北偏东60o的方向,巡逻舰从B地继续向正东方向航行200海里到达C处时,测得小岛A在舰艇的北偏东30o的方向。已知在小岛周围170海里内有暗礁,若舰艇不改变航向继续向前行驶,试问舰艇有无触礁的危险?()
下列语句中,其中正确的个数是( )
①将多项式因式分解,则原式=
②将多项式因式分解,则原式=;
③90o的圆周角所对的弦是直径;④半圆(或直径)所对的圆周角是直角。
A. 1 B. 2 C. 3 D. 4
以下四个选项表示某天四个城市的平均气温,其中平均气温最低的是( )℃
A. -2 B. 5 C. -10 D. -5
某商店上月的营业额是m万元,本月比上月增长15%,那么本月的营业额是( )
A. (m+1)·15%万元 B. 15%万元 C. (1+15%)m万元 D. (1+15%)2m万元
对于任意不相等且和大于0的两个实数a,b,定义运算※为a※b=,如3※2==.那么8※12=________.