题目内容
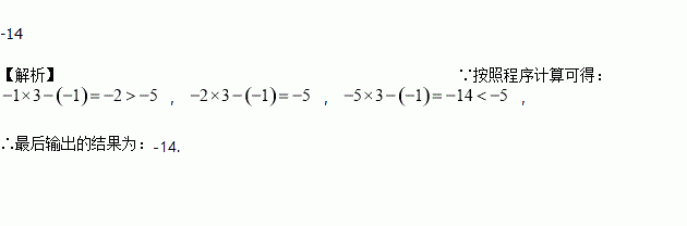
如图所示是计算机某计算程序,若开始输入,则最后输出的结果是______.
分解因式:a2+2a=_________.
已知关于x的方程x2-(k+2)x+2k=0.
(1)求证:k取任何实数值,方程总有实数根;
(2)若Rt△ABC斜边长a=3,另两边长b,c恰好是这个方程的两个根,求△ABC的周长.
如图,点A,B是⊙O上两点,AB=6,点P是⊙O上的动点(P与A,B不重合),连接AP,PB,过点O分别作OE⊥AP于E,OF⊥PB于F,则EF的长为( )
A. 3 B. 4 C. 5 D. 6
a、b互为相反数,c、d互为倒数,m的绝对值为6,求 的值.
比较大小: ______
下列各对数互为相反数的是( )
A. -和 + B. -和+
C. -和 + D. +和―
点A,B表示数轴上互为相反数的两个数,且点A向左平移8个单位长度到达点B,则这两点所表示的数分别是____________和___________.
如图,在等边三角形ABC中,点D,E分别在边BC,AC上,且DE∥AB,过点E作EF⊥DE,交BC的延长线于点F.
(1)求∠F的度数;
(2)若CD=2,求DF的长.