题目内容
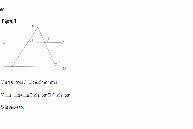
如图,直线AB∥CD,∠1=50°,∠2=110°,那么∠E=__度.
图(1)是一个长为,宽为()的长方形,用剪刀沿图中虚线(对称轴)剪开,把它分成四块形状和大小都一样的小长方形,然后按图(2)拼成一个正方形,则中间空白部分的面积是( )
A. B. C. D.
已知二次函数y=kx2﹣5x﹣5的图象与x轴有交点,则k的取值范围是( )
A. k>- B. k-且k≠0 C. k- D. k>-且k≠0
如图所示,已知OA∥CD,OB∥CD,那么A、O、B三点在__________,理由是____________________.
如图所示,下列条件中,能判断直线l1∥l2的是( )
A. ∠2=∠1 B. ∠1=∠4 C. ∠2=∠4 D. ∠4+∠2=180°
如图,直线a、b被直线c所截,a∥b,∠1+∠2的度数是 .
如图,a∥b,∠1+∠2=75°,则∠3+∠4=__.
如图,直线a∥b,将三角尺的直角顶点放在直线b上,∠1=35°,则∠2=______.
计算10ab3÷5ab的结果是_____.