题目内容
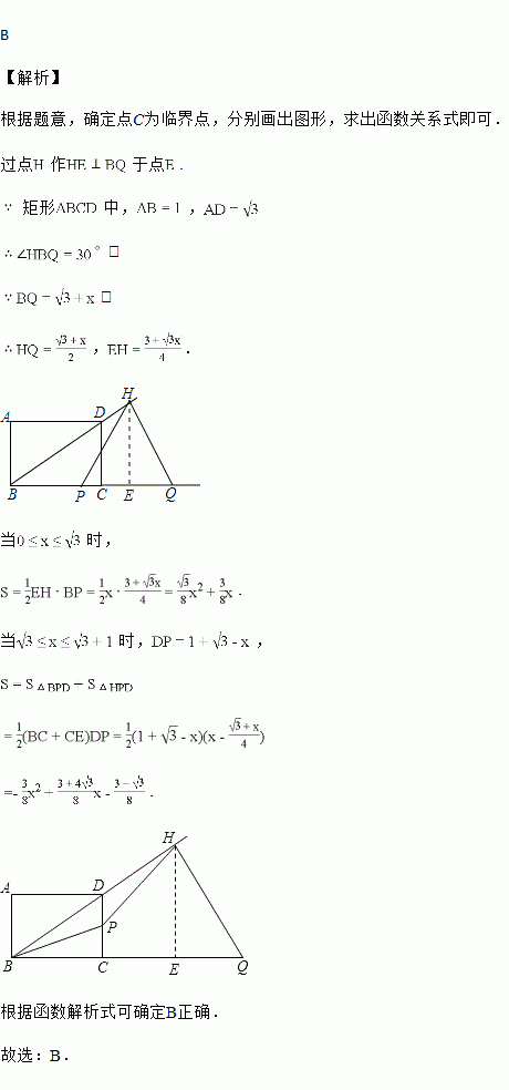
如图,在矩形ABCD中,,![]()
,点P和点Q分别从点B和点C以相同速度出发,点Q沿射线BC方向运动,点P沿路径运动,点P运动到D点时,P、Q两点同时停止运动![]()
过点Q作![]()
直线BD,垂足为H,连接PH,设点P运动的路程为x,![]()
的面积为S,则能反映S与x之间的函数关系的图象大致为![]()
![]()
![]()
![]()
A.
B.
C.
D. ![]()
练习册系列答案
相关题目
题目内容
如图,在矩形ABCD中,,![]()
,点P和点Q分别从点B和点C以相同速度出发,点Q沿射线BC方向运动,点P沿路径运动,点P运动到D点时,P、Q两点同时停止运动![]()
过点Q作![]()
直线BD,垂足为H,连接PH,设点P运动的路程为x,![]()
的面积为S,则能反映S与x之间的函数关系的图象大致为![]()
![]()
![]()
![]()
A.
B.
C.
D. ![]()