题目内容

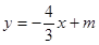
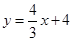
如图,在平面直角坐标系中,O为坐标原点,直线与x轴交于点A,求(1)m的值是         ;(2) y轴关于直线l对称的直线的函数关系式是:___________________.

 

 

【答案】

(1)m=4;(2).

【解析】

试题分析:(1)把A(3,0)代入直线解析式中即可求出m的值;

(2)已知关于y轴对称的点的横坐标互为相反数即可求出直线l对称的直线的函数关系式.

试题解析:(1)把A(3,0)代入得:

∴m=4.

(2)把x=-x代入,得.

故答案为:(1)m=4;(2).

考点: 一次函数的图象与性质.

 

练习册系列答案
相关题目

违法和不良信息举报电话:027-86699610 举报邮箱:58377363@163.com

精英家教网