题目内容
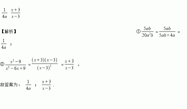
约分:① =________,② =________.
如图,正△AEF的边长与菱形ABCD的边长相等,点E、F分别在BC、CD上,则∠B的度数是_____.
若关于x的一元二次方程(k﹣1)x2+2x﹣2=0有两个不相等的实数根,则k的取值范围是( )
A. k> B. k≥ C. k>且k≠1 D. k≥且k≠1
某县正在开展“拆临拆违”工作,某街道产生了m立方米的“拆临拆违”垃圾需要清理,一个工程队承包了清理工作,计划每天清理80立方米,考虑到还有其它地方的垃圾需要清理,该工程队决定增加人手以提高50%的清理效率,则完成整个任务的实际时间比原计划时间少用了( )
A. 天 B. 天 C. 天 D. 天
下列说法中,正确的有( )
①等腰三角形的两腰相等;②等腰三角形的两底角相等;③等腰三角形底边上的中线与底边上的高相等;④等腰三角形是轴对称图形.
A. 1个 B. 2个 C. 3个 D. 4个
若x-y≠0,x-2y=0,则分式的值________.
已知A(a+b,1),B(﹣2,2a﹣b),若点A,B关于x轴对称,求a,b的值.
正比例函数y=﹣3x的大致图象是( )
A. B. C. D.
画出数轴,在数轴上表示下列各数,并用“>”连接:
+5,﹣3.5, ,﹣1,4,0,2.5.