题目内容
求使有意义的x的取值范围.
已知a+b=﹣8,ab=8,则式子的值为( )
A. B. C. D.
下列说法中正确的是( )
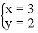
A. 是方程3x-4y=1的一组解
B. 方程3x-4y=1有无数组解,即x、y可以取任何数值
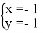
C. 方程3x-4y=1只有两组解,两组解分别是: 、
D. 方程3x-4y=1可能无解
在实数范围内分解因式__________
当a≥0时,、、,比较他们的结果,下面四个选项中正确的是( )
A. =≥
B. >>
C. <<
D. >=
代数式的最大值是__________.
计算+|-11|-,正确的结果是( )
A. -11 B. 11 C. 22 D. -22
一种机器零件的形状如图,规定这个零件中的 ∠A和 ∠DBC都应为直角,工人师傅量得这个零件各边的尺寸如图(单位:mm),这个零件符合要求吗?
a与-x2的和的一半是负数,用不等式表示为( )
A. a-x2>0 B. a-x2<0 C. (a-x2)<0 D. (a-x2)>0