题目内容
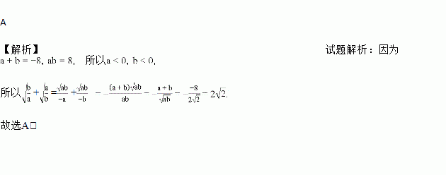
已知a+b=﹣8,ab=8,则式子的值为( )
A. B. C. D.
若正方形的边长为a,面积为S,则( )
A. S的平方根是a B. a是S的算术平方根
C. a=± D. S=
四边形ABCD,仅从下列条件中任取两个加以组合,使得ABCD是平行四边形,一共有多少种不同的组合? AB∥CD BC∥AD AB=CD BC=AD( )
A. 2组 B. 3组 C. 4组 D. 6组
我们知道,若两个有理数的积是1,则称这两个有理数互为倒数.同样的当两个实数与的积是1时,我们仍然称这两个实数互为倒数.
(1)判断与是否互为倒数,并说明理由;
(2)若实数是的倒数,求x和y之间的关系.
如果最简根式与是同类二次根式,那么使有意义的x的取值范围是( )
A. x≤10 B. x≥10 C. x<10 D. x>10
已知,,则的值为( )
A. 5 B. 6 C. 3 D. 4
如图,在△ABC中,∠BAC>90°,DC⊥DB,BE⊥EC,F为BC上的一个动点,猜想:当F为于BC上的什么位置时,△FDE是等腰三角形,并证明你的猜想是正确的。
如图,已知∠AOB=45°,A1、A2、A3、…在射线OA上,B1、B2、B3、…在射线OB上,且A1B1⊥OA,A2B2⊥OA,…AnBn⊥OA;A2B1⊥OB,…,An+1Bn⊥OB(n=1,2,3,4,5,6…).若OA1=1,则A6B6的长是 .
求使有意义的x的取值范围.