题目内容
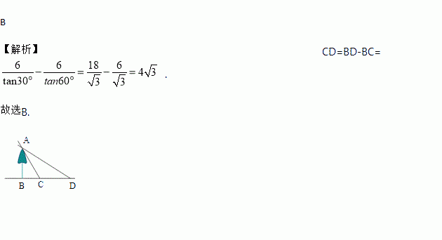
如图所示,平地上一棵树高为6米,两次观察地面上的影子,第一次是当阳光与地面成时,第二次是阳光与地面成时,第二次观察到的影子比第一次长()
A. B. C. D.
下列语句正确的是( )
A. 相等的角是对顶角. B. 不是对顶角的角都不相等.
C. 不相等的角一定不是对顶角. D. 有公共点且和为180°的两个角是对顶角.
甲、乙两车从A地驶向B地,并以各自的速度匀速行驶,甲车比乙车早行驶2h,并且甲车途中休息了0.5h,如图是甲乙两车行驶的距离y(km)与时间x(h)的函数图象.则下列结论:
(1)a=40,m=1;
(2)乙的速度是80km/h;
(3)甲比乙迟h到达B地;
(4)乙车行驶小时或小时,两车恰好相距50km.
正确的个数是( )
A. 1 B. 2 C. 3 D. 4
离物体越近,视角越________ ,离物体越远,视角越________ .
如图,小军、小珠之间的距离为2.7m,他们在同一盏路灯下的影长分别为1.8m,1.5m,已知小军、小珠的身高分别为1.8m,1.5m,则路灯的高为____________m.
如图,空心圆柱的左视图是( )
是一个完全平方式,则m=___________.
如图,直角坐标系中,直线与反比例函数的图象交于A,B两点,已知A点的纵坐标是2.
(1)求反比例函数的解析式.
(2)将直线沿x轴向右平移6个单位后,与反比例函数在第二象限内交于点C.动点P在y轴正半轴上运动,当线段PA与线段PC之差达到最大时,求点P的坐标.
某班学生分组搞活动,若每组7人,则余下4人;若每组8人,则有一组少3人.设全班有学生x 人,分成y 个小组,则可得方程组( )