题目内容
己知多项式,,且多项式中不含字母,则的值为__________.
如图,点A是函数图象上一点,连接AO交反比例函数的图象于点B,若,则k______.
当自变量x取何值时,函数y=x+1与y=5x+6的值相等?这个函数值是多少?
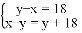
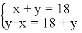
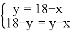
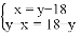
哥哥与弟弟的年龄和是18岁,弟弟对哥哥说:“当我的年龄是你现在年龄的时候,你就是18岁”.如果现在弟弟的年龄是x岁,哥哥的年龄是y岁,下列方程组正确的是( )
A. B.
C. D.
若3xmyn是含有字母x和y的五次单项式,求mn的最大值.
两个完全相同的大长方形,长为a,各放入四个完全一样的小长方形后,得到图(1)、图(2),那么图(1)阴影部分的周长与图(2)阴影部分的周长的差是( )(用含a的代数式表示)
A. a B. a C. a D. a
对于式子:,,,3x2+5x-2,abc,0,,m,下列说法正确的是( )
A. 有5个单项式,1个多项式 B. 有3个单项式,2个多项式
C. 有4个单项式,2个多项式 D. 有7个整式
如图,是的直径,.
(1)求证:是的切线;
(2)若点是的中点,连接交于点,当,时,求的值.
如图,四边形ABCD和四边形BEFG均为正方形,且A、B、E三点共线,正方形ABCD的边长为4,则的面积为______ .