题目内容
的平方根是( )
A. B. C. D.
已知⊙的直径为,点,点,点在⊙上,的平分线交⊙于点.
()如图①,若为⊙的直径,,求,,的长.
()如图②,若,求的长.
在某城市中,市民中心在火车站以西8 000 m再往北4 000 m处,盛华公司在火车站以西6 000 m再往南4 000 m处,传媒大楼在火车站以南6 000 m再往东4 000 m处.请建立适当的平面直角坐标系,分别写出各地点的坐标.
如果正数的平方根为和,则的值是 _____________________.
小明房间的面积为10.8平方米,房间地面恰由120块相同的正方形地砖铺成,则每块地砖的边长是______米.
对于三个数,,,用表示这三个数的平均数,用表示这三个数中最小的数.例如:
,;
解决下列问题:
()①__________.
②如果,则的取值范围为____________________.
()①如果,则__________.
②根据①,你发现了结论“如果,那么__________(填,,的大小关系)”.
③运用②的结论,填空:
若,并且,则__________.
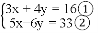
解方程组:.
用白铁皮做罐头盒,每张铁皮可制盒身个,或制盒底个,一个盒身与两个盒底配成一套罐头盒,现有张白铁皮,用多少张制盒身,多少张制盒底可正好制成整套罐头盒?设用张制盒身,张制盒底,则可列方程组得:__________.
抛物线的顶点坐标是