题目内容
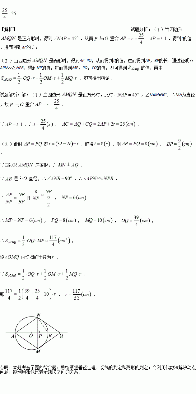
如图,⊙
半径为
,
是⊙
的直径,点
为
延长线上一点,动点
从点
出发以
的速度沿
方向运动,同时,动点
从点
出发以
的速度沿
方向运动,当两点相遇时都停止运动.过点
作
的垂线,与⊙
分别交于点
、
,设点
的运动时间为
.
(
)当四边形
是正方形时,
__________
,
__________
.
(
)当四边形
是菱形且
时,求
内切圆的半径.
![]()
练习册系列答案
相关题目
题目内容
如图,⊙
半径为
,
是⊙
的直径,点
为
延长线上一点,动点
从点
出发以
的速度沿
方向运动,同时,动点
从点
出发以
的速度沿
方向运动,当两点相遇时都停止运动.过点
作
的垂线,与⊙
分别交于点
、
,设点
的运动时间为
.
(
)当四边形
是正方形时,
__________
,
__________
.
(
)当四边形
是菱形且
时,求
内切圆的半径.
![]()