题目内容
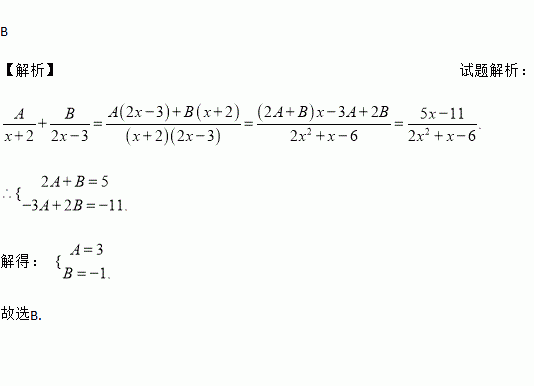
如果分式与的和是,那么A、B的值分别是( )
A. A=5,B=-11 B. A=3,B=-1
C. A=-1,B=3 D. A=-5,B=11
(12分)(2017·黄冈)已知:如图,一次函数y=-2x+1与反比例函数y=的图象有两个交点A(-1,m)和B,过点A作AE⊥x轴,垂足为E;过点B作BD⊥y轴,垂足为点D,且点D的坐标为(0,-2),连结DE.
(1)求k的值;
(2)求四边形AEDB的面积.
已知a=4,b=﹣1,则代数式2a﹣b﹣3的值为( )
A. 4 B. 6 C. 7 D. 12
埃是表示极小长度的单位名称,是为纪念瑞典物理学家埃基特朗而定的.1埃等于一亿分之一厘米,请用科学记数法表示1埃等于___________厘米.
2 0140的值是( )
A. 2 010 B. 0 C. 1 D. -1
(1)已知y=﹣+8x,求的平方根.
(2)当﹣4<x<1时,化简.
=____
根据下列证明过程填空:
已知:如 图,AD⊥BC于点D,EF⊥BC于点F,交AB于点G,交CA的延长线于点E,∠1=∠2.
求证:AD平分∠BAC,填写证明中的空白.
证明:
∵AD⊥BC,EF⊥BC (已知),
∴EF∥AD ( ),
∴ = ( 两直线平行,内错角相等 ),
=∠CAD ( ).
∵ (已知),
∴ ,即AD平分∠BAC ( ).
如图,菱形ABCD中,点E,F分别是BC,CD边的中点.求证:AE=AF.