题目内容
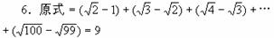
+++┉┉+=__________.
如图83,四边形ABCD的对角线AC和BD相交于O点,如果S△ABD=5,S△ABC=6,S△BCD=10,那么S△OBC______.
如图67,在△ABC中,AB=AC,D点在AB上,DE⊥AC于E,EF⊥BC于F.∠BDE=140°,那么∠DEF是 [ ]
A.55° B.60°. C.65° D.70°
某自然数的平方是一个四位数,千位数字是4,个位数字是5,这个数是______.
已知△ABC是等腰三角形,则[ ]
A.AB=AC;B.AB=BC;C.AB=AC或AB=BC;D.AB=AC或AB=BC或AC=BC
若方程x2+(k2-9)x+k+2=0的两个实数根互为相反数,则k的值是______.
如图16,BE是∠ABD的平分线,CF是∠ACD的平分线,BE与CF交于G,若∠BDC=140°,∠BGC=110°,则∠A的大小是 [ ]
A.70° B.75°. C.80° D.85°
如果x-y=+1,y-z=-1,那么x2+y2+z2-xy-yz-zx=____________.
已知a,b,c满足a+b+c=0,abc=8,则c的取值范围是______.