题目内容
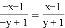
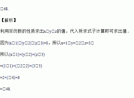
若|x-1|+|y+2|+|z-3|=0,求(x+1)×(y-2)×(z+3)的值.
练习册系列答案
相关题目
根据下面表格中的对应值:
x | 3.23 | 3.24 | 3.25 | 3.26 |
ax2+bx+c | -0.06 | -0.02 | 0.03 | 0.09 |
判断方程ax2+bx+c=0(a≠0,a,b,c为常数)的一个解x的范围是( )
A. 3<x<3.23 B. 3.23<x<3.24 C. 3.24<x<3.25 D. 3.25<x<3.26