题目内容
已知直线y=kx+1经过点M(d,-2)和点N(1,2),交y轴于点H,交x轴于点F.(1)求d的值;
(2)将直线MN绕点M顺时针旋转45°得到直线ME,点Q(3,e)在直线ME上,①证明ME∥x轴;②试求过M、N、Q三点的抛物线的解析式;
(3)在(2)的条件下,连接NQ,作△NMQ的高NB,点A为MN上的一个动点,若BA将△NMQ的面积分为1:2两部分,且射线BA交过M、N、Q三点的抛物线于点C,试求点C的坐标.
【答案】分析:(1)把点N(1,2)代入y=kx+1,得k,再把M点坐标代入已知直线解析式得d;
(2)由(1)可知直线MN:y=x+1与x轴夹角为45°,将直线MN绕点M顺时针旋转45°得到直线ME,此时ME∥x轴;由此可以判断点Q的纵坐标与点M相同,e=-2,已知M、N、Q三点坐标,可求抛物线解析式;
(3)有两种可能,即S△AMB=
S△NMQ或S△AMB=
S△NMQ;△NMQ的面积为已知,线段MB长已知,可求点A到BM的距离,又点A在直线MN上,可求点A坐标,用“两点法”求直线AB解析式,再与抛物线解析式联立,可求C点坐标.
解答:解:(1)把点N(1,2)代入y=kx+1,得k=1
∴y=x+1
∵点M(d,-2)在直线y=x+1上
∴d=-3
(2)①∵y=x+1分别交x轴、y轴于点F、H.
∴F(-1,0),H(0,1),
∴OF=OH=1
∴∠HFO=∠NME=45°,
∴ME∥x轴
②又∵点Q(3,e)在直线ME上,
∴Q(3,-2)
设过M(-3,-2),N(1,2),Q(3,-2)的抛物线为y=ax2+bx+c
代入三个点的坐标得
解得
∴y=-
x2+
(3)设A(m,n),A到MQ的距离为h,则
S△AMB=
S△NMQ或S△AMB=
S△NMQ
当S△AMB=
S△NMQ时,得
MB•h=
×
MQ•NB ①
∵NB是△NMQ的高,
∴B(1,-2)
∴MB=4,MQ=6,NB=4
∴由①式得h=2,
∴n=2-2=0,m=-1
∴A(-1,0)
设直线AB的解析式为y=k´x+b´,代入A(-1,0)和B(1,-2),得k´=-1,b´=-1
解方程组
得
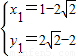
(舍去)
∴C(1-2
,2
-2)
当S△AMB=
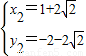
S△NMQ时,可得h=4,n=2,m=1
此时点A(1,2)为满足条件的点
综上可知,所求点C的坐标为(1-2
,2
-2)和(1,2).
点评:本题综合性强,考查了点的坐标的求法,抛物线解析式的确定方法,及解决有关三角形面积的问题,同时,渗透了分类讨论的思想.
(2)由(1)可知直线MN:y=x+1与x轴夹角为45°,将直线MN绕点M顺时针旋转45°得到直线ME,此时ME∥x轴;由此可以判断点Q的纵坐标与点M相同,e=-2,已知M、N、Q三点坐标,可求抛物线解析式;
(3)有两种可能,即S△AMB=
解答:解:(1)把点N(1,2)代入y=kx+1,得k=1
∴y=x+1
∵点M(d,-2)在直线y=x+1上
∴d=-3
(2)①∵y=x+1分别交x轴、y轴于点F、H.
∴F(-1,0),H(0,1),
∴OF=OH=1
∴∠HFO=∠NME=45°,
∴ME∥x轴
②又∵点Q(3,e)在直线ME上,
∴Q(3,-2)
设过M(-3,-2),N(1,2),Q(3,-2)的抛物线为y=ax2+bx+c
代入三个点的坐标得
解得
∴y=-
(3)设A(m,n),A到MQ的距离为h,则
S△AMB=
当S△AMB=
∵NB是△NMQ的高,
∴B(1,-2)
∴MB=4,MQ=6,NB=4
∴由①式得h=2,
∴n=2-2=0,m=-1
∴A(-1,0)
设直线AB的解析式为y=k´x+b´,代入A(-1,0)和B(1,-2),得k´=-1,b´=-1
解方程组
得
∴C(1-2
当S△AMB=
此时点A(1,2)为满足条件的点
综上可知,所求点C的坐标为(1-2
点评:本题综合性强,考查了点的坐标的求法,抛物线解析式的确定方法,及解决有关三角形面积的问题,同时,渗透了分类讨论的思想.
练习册系列答案
相关题目