题目内容
如果一个数的倒数是3,那么这个数的相反数是_____.
某商场对一种新售的手机进行市场问卷调查,其中一个项目是让每个人按不喜欢、一般、不比较喜欢、非常喜欢四个等级对该手机进行评价,图和图是该商场采集数据后,绘制的两幅不完整的统计图,请你根据以上统计图提供的信息,回答下列问题:
本次调查的人数为多少人?A等级的人数是多少?请在图中补全条形统计图.
图中,a等于多少?D等级所占的圆心角为多少度?
如图,下列图形全部属于柱体的是( )
A. B. C. D.
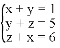
三元一次方程组的解是
若a,b互为倒数,则a2b﹣(a﹣2017)值为_____.
下列各题中,结论正确的是( )
A. 若a>0,b<0,则>0 B. 若a>b,则a-b>0
C. 若a<0,b<0,则ab<0 D. 若a>b,a<0,则<0
下列说法正确的是( )
A. 负数没有倒数 B. 正数的倒数比自身小 C. 任何有理数都有倒数 D. ﹣1的倒数是﹣1
若,则的值为__________.
已知三条线段的长度分别是4,8,5,请写出另一条线段的长度:____________,使这四条线段是成比例线段.