题目内容
如图,已知在⊙O中,AB=4(1)求图中阴影部分的面积;
(2)若用阴影扇形OBD围成一个圆锥侧面,请求出这个圆锥的底面圆的半径.
【答案】分析:(1)先利用同弧所对的圆周角等于所对的圆心角的一半,求出扇形的圆心角为120度,在Rt△ABF中根据勾股定理可求出半径的长,利用扇形的面积公式即可求解;
(2)直接根据圆锥的侧面展开图扇形的弧长等于圆锥底面周长可得圆锥的底面圆的半径.
解答:解:(1)法一:过O作OE⊥AB于E,则
BF=
AB=2
.
在Rt△AEO中,∠BAC=30°,cos30°=
.
∴OA=
=
=4.
又∵OA=OB,
∴∠ABO=30度.
∴∠BOC=60度.
∵AC⊥BD,∴
.
∴∠COD=∠BOC=60度.
∴∠BOD=120度.
∴S阴影=
=
.
法二:连接AD.
∵AC⊥BD,AC是直径,
∴AC垂直平分BD.
∴AB=AD,BF=FD,
.
∴∠BAD=2∠BAC=60°,
∴∠BOD=120度.
∵BF=
AB=2
,sin60°=
,
AF=AB•sin60°=4
×
=6.
∴OB2=BF2+OF2.即
.
∴OB=4.
∴S阴影=
S圆=
.
法三:连接BC.
∵AC为⊙O的直径,
∴∠ABC=90度.
∵AB=4
,
∴
.
∵∠A=30°,AC⊥BD,
∴∠BOC=60°,∴∠BOD=120度.
∴S阴影=
π•OA2=
×42•π=
.
以下同法一;
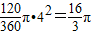
(2)设圆锥的底面圆的半径为r,则周长为2πr,
∴
.
∴
.
点评:本题主要考查了扇形的面积公式和圆锥的侧面展开图与底面周长之间的关系.本题还涉及到圆中的一些性质,如垂径定理等.
(2)直接根据圆锥的侧面展开图扇形的弧长等于圆锥底面周长可得圆锥的底面圆的半径.
解答:解:(1)法一:过O作OE⊥AB于E,则
BF=
在Rt△AEO中,∠BAC=30°,cos30°=
∴OA=
又∵OA=OB,
∴∠ABO=30度.
∴∠BOC=60度.
∵AC⊥BD,∴
∴∠COD=∠BOC=60度.
∴∠BOD=120度.
∴S阴影=
法二:连接AD.
∵AC⊥BD,AC是直径,
∴AC垂直平分BD.
∴AB=AD,BF=FD,
∴∠BAD=2∠BAC=60°,
∴∠BOD=120度.
∵BF=
AF=AB•sin60°=4
∴OB2=BF2+OF2.即
∴OB=4.
∴S阴影=
法三:连接BC.
∵AC为⊙O的直径,
∴∠ABC=90度.
∵AB=4
∴
∵∠A=30°,AC⊥BD,
∴∠BOC=60°,∴∠BOD=120度.
∴S阴影=
以下同法一;
(2)设圆锥的底面圆的半径为r,则周长为2πr,
∴
∴
点评:本题主要考查了扇形的面积公式和圆锥的侧面展开图与底面周长之间的关系.本题还涉及到圆中的一些性质,如垂径定理等.
练习册系列答案
相关题目