题目内容
在ΔABC中,M、N分别是AB、AC的中点,且∠A +∠B=120°,则∠AN M=________。.
已知|a-1|+=0,求方程+bx=1的解.
如图,在等腰三角形ABC中,∠C=90°,∠BAD=15°,AD=8,则CD等于( )
A. 4 B. 3 C. 2 D. 5
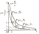
两个反比例函数,在第一象限内的图象如图所示,点P1,P2,P3,……P2005在反比例函数图象上,它们的横坐标分别是x1,x2,x3,?x2005纵坐标分别为1,3,5,……;
共2005个连续奇数,过点P1,P2,P3,……,P2005分别作轴的平行线,与的图象交点依次是Q1(x1,y1),Q2(x2,y2),Q3(x3,y3),……,Q2005(x2005,y2005),则_____________.
某种汽车可装油400L,若汽车每小时的用油量为x(L).(1)用油量y(h)与每小时的用油量x(L)的函数关系式为______________;(2)若每小时的用油量为20L,则这些油可用的时间为______________;(3)若要使汽车继续行驶40h不需供油,则每小时用油量的范围是______________.
不能判断四边形ABCD是平行四边形的是( )
A. AB=CD,AD=BC B. AB=CD,AB∥CD
C. AB=CD,AD∥BC D. AB∥CD,AD∥BC
在□ABCD中,∠A∶∠B∶∠C∶∠D的值可以是( )
A.1∶2∶3∶4 B.1∶2∶2∶1
C.1∶1∶2∶2 D.2∶1∶2∶1
下列解方程的过程,正确的是( )
A. x2=x.两边同除以x,得x=1
B. x2+4=0.直接开平方法,可得x=±2
C. (x﹣2)(x+1)=3×2.∵x﹣2=3,x+1=2,∴x1=5,x2=1
D. (2﹣3x)+(3x﹣2)2=0.整理得3(3x﹣2)(x﹣1)=0,∴x1=,x2=1
分解因式:2x2﹣12x﹣32=_____.