题目内容
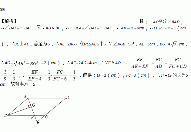
如图,在?ABCD中,AB=6cm,AD=9cm,∠BAD的平分线交BC于点E,交DC的延长线于点F,BG⊥AE,垂足为G,BG=4cm,则EF+CF的长为______cm.
对于实数a,下列不等式一定成立的是( )
A. |a|>0 B. >0 C. a2+1>0 D. (a+1)2>0
先化简,再求值: ÷﹣3,其中a=.
已知二次函数y=﹣x2+bx+c+1。
(1)当b=1时,求这个二次函数的对称轴的方程;
(2)若c=﹣b2﹣2b,问:b为何值时,二次函数的图象与x轴相切?
(3)若二次函数的图象与x轴交于点A(x1,0),B(x2,0),且x1<x2,b>0,与y轴的正半轴交于点M,以AB为直径的半圆恰好过点M,二次函数的对称轴l与x轴、直线BM、直线AM分别交于点D、E、F,且满足=,求二次函数的表达式.
先化简,后求值:,其中
在平行四边形ABCD中,∠A的平分线把BC边分成长度是3和4的两部分,则平行四边形ABCD的周长是( )
A. 22 B. 20
C. 22或20 D. 18
如图,AB∥CD,AE平分∠CAB交CD于点E,若∠C=70°,则∠AED=( )
A.55° B.125° C.135° D.140°
某楼梯如图所示,欲在楼梯上铺设红色地毯,已知这种地毯每平方米售价为30元,楼梯宽为2m,则购买这种地毯至少需要_____元.
用有序数对表示物体位置时,(2,4)与(4,2)表示的位置相同吗?请结合图形说明.