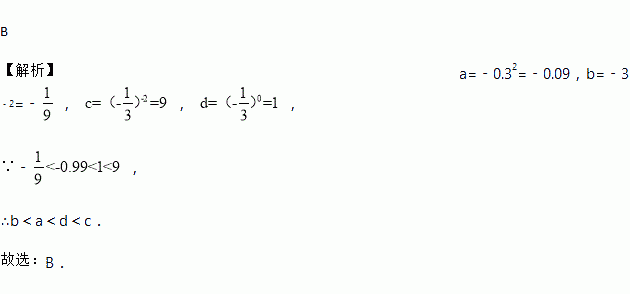
题目内容
若a=0.32,b=﹣3﹣2,c=
,d=
,则它们的大小关系是( )
A. a<b<c<d B. b<a<d<c C. a<d<c<b D. c<a<d<b
B 【解析】a=﹣0.32=﹣0.09,b=﹣3﹣2=﹣, , , ∵﹣, ∴b<a<d<c. 故选:B.
练习册系列答案
相关题目
题目内容
若a=0.32,b=﹣3﹣2,c=
,d=
,则它们的大小关系是( )
A. a<b<c<d B. b<a<d<c C. a<d<c<b D. c<a<d<b
B 【解析】a=﹣0.32=﹣0.09,b=﹣3﹣2=﹣, , , ∵﹣, ∴b<a<d<c. 故选:B.