题目内容
直线l1:y=ax+b与直线l2:y=mx+n在同一平面直角坐标系中的图象如图所示,则关于x的不等式ax+b<mx+n的解集为( )
A. x>﹣2 B. x<﹣2 C. x>1 D. x<1
如图1,在平面直角坐标系中,点A为x轴负半轴上一点,点B为x轴正半轴上一点,C(0,a),D(b,a),其中a,b满足关系式:|a+3|+(b-a+1)2=0.
(1)a=___,b=___,△BCD的面积为______;
(2)如图2,若AC⊥BC,点P线段OC上一点,连接BP,延长BP交AC于点Q,当∠CPQ=∠CQP时,求证:BP平分∠ABC;
(3)如图3,若AC⊥BC,点E是点A与点B之间一动点,连接CE,CB始终平分∠ECF,当点E在点A与点B之间运动时,的值是否变化?若不变,求出其值;若变化,请说明理由.
若等式x=y可以变形为,则有( )
A. a>0 B. a<0 C. a≠0 D. a为任意有理数
计算:(1); (2).
下列图象中不可能是一次函数的图象的是( )
A. B. C. D.
如图,在△ABC中,AB=AC,AH⊥BC,垂足为H,D为直线BC上一动点(不与点B、C重合),在AD的右侧作△ADE,使得AE=AD,∠DAE=∠BAC,连接CE.
(1)求证:∠ABC=∠ACB;
(2)当D在线段BC上时
①求证:△BAD≌△CAE;②当点D运动到何处时,AC⊥DE,并说明理由;
(3)当CE∥AB时,若△ABD中最小角为20°,试探究∠ADB的度数.(直接写出结果,无需写出求解过程 )
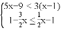
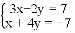
解方程组或不等式组:
(1)
(2) .
下列四个选项中的图形与下面的图形全等的是( )
计算:﹣|2﹣2|+2tan45°=_____.