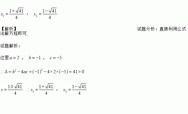
题目内容
解方程:
第一盒乒乓球中有4个白球2个黄球,第二盒乒乓球中有3个白球3个黄球,分别从每个盒子中随机地取出1个球,则取出的两个球都是黄球的概率是______.
某校初三(1)班部分同学接受一次内容为“最适合自己的考前减压方式”的调查活动,收集整理数据后,老师将减压方式分为五类,并绘制了图1、图2两个不完整的统计图,请根据图中的信息解答下列问题.
(1)初三(1)班接受调查的同学共有多少名;
(2)补全条形统计图,并计算扇形统计图中的“体育活动C”所对应的圆心角度数;
(3)若喜欢“交流谈心”的5名同学中有三名男生和两名女生;老师想从5名同学中任选两名同学进行交流,直接写出选取的两名同学都是女生的概率.
用频率估计概率,可以发现,某种幼树在一定条件下移植成活的概率为0.9,下列说法正确的是( )
A. 种植10棵幼树,结果一定是“有9棵幼树成活”
B. 种植100棵幼树,结果一定是“90棵幼树成活”和“10棵幼树不成活”
C. 种植10n棵幼树,恰好有“9n棵幼树成活”
D. 种植10n棵幼树,当n越来越大时,种植成活幼树的频率会越来越稳定于0.9
某商品现在售价为每件60元,每星期可卖出300件,市场调查反映:调整价格,每件涨价1元,每星期要少卖出10件;每件降价1元,每星期可多卖出20件.已知商品的进价为每件40元.
(1)设每件降价x元,每星期的销售利润为y元;
① 请写出y与x之间的函数关系式;
② 确定x的值,使利润最大,并求出最大利润;
(2)若涨价x元,则x= 元时,利润y的最大值为 元(直接写出答案,不必写过程).
已知⊙O半径为1,A、B在⊙O上,且,则AB所对的圆周角为___________.
在中,弦的长为6,圆心到的距离为4, ,则点与的位置关系是( )
A. 在上 B. 在外 C. 在内 D. 与或重合
如图,在△中, , 垂直平分,且,则 的长为
.
解不等式组,把解表示在数轴上,并写出该不等式组的非负整数解.