题目内容
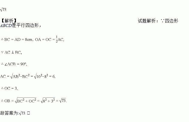
如图,在□ABCD中,AC,BD相交于点O,AB=10cm,AD=8cm,AC⊥BC,则OB= _________cm.
对于平面直角坐标系中的图形,,给出如下定义:为图形上任意一点,为图形上任意一点,如果,两点间的距离有最小值,那么称这个最小值为图形,间的“闭距离”,记作(,).
已知点(,6),(,),(6,).
(1)求(点,);
(2)记函数(,)的图象为图形,若(,),直接写出的取值范围;
(3)的圆心为(t,0),半径为1.若(,),直接写出t的取值范围.
由若干根火柴恰好可拼成如图所示的n列正方形(每列2个),若图中的火柴总根数为y 根,则y=__________.(用含n的代数式表示)
如图,P为正方形ABCD的对角线AC上任意一点,PE⊥AB于E,PF⊥BC于F,若AC=,则四边形PEBF的周长为( )
A. B. 2 C. 2 D. 1
已知一个多边形的内角和是900°,则这个多边形是( )
A. 四边形 B. 五边形 C. 六边形 D. 七边形
某市推出电脑上网包月制,每月收取费用y(元)与上网时间x(小时)的函数关系如图所示,其中BA是线段,且BA∥x轴,AC是射线.
(1)当x≥30,求y与x之间的函数关系式;
(2)若小李4月份上网20小时,他应付多少元的上网费用?
(3)若小李5月份上网费用为75元,则他在该月份的上网时间是多少?
如图直角梯形ABCD中,AD∥BC,AB⊥BC,AD=2,BC=3,将腰CD以D为中心逆时针旋转90°至ED,连AE、CE,则△ADE的面积是( )
A. 1 B. 2 C. 3 D. 不能确定
解不等式组
如图,中,于D,要使,若根据“”判定,还需要加条件__________