题目内容
函数y=中自变量x的取值范围是( )
A. x>2 B. x≥2 C. x≤2 D. x≠2
在同一平面内的三条直线,如果要使其中两条且只有两条平行,那么它们( )
A. 有三个交点 B. 只有一个交点
C. 有两个交点 D. 没有交点
若关于的二元一次方程组 的解都为正整数,则________
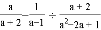
先化简,再求代数式的值,其中
在□ABCD中,∠A,∠B的度数之比为2:7,则∠C=__________.
下面四个二次根式中,最简二次根式是( )
A. B. C. D.
先化简,再求值:其中.
已知实数、,若,则下列结论错误的是( )
如图,点A,B,C在⊙O上,∠A=40度,∠C=20度,则∠B=_____度.