题目内容
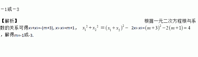
已知关于x的一元二次方程x2+(m+3)x+m+1=0的两个实数根为x1,x2,若=4,则m的值为___________.
一个长方体的长、宽、高分别是3x-4、2x-1和x,则它的体积是( )
A. 6x3-5x2+4x B. 6x3-11x2+4x
C. 6x3-4x2 D. 6x3-4x2+x+4
下列运算正确的是( )
A. a•a2=a2 B. (a2)3=a6 C. a2+a3=a6 D. a6÷a2=a3
下面是一位同学做的四道题:①2a+3b=5ab;②(3a3)2=6a6;③a6÷a2=a3;④a2•a3=a5,其中做对的一道题的序号是( )
A. ① B. ② C. ③ D. ④
解下列方程:
(1)x2+4x-5=0;(2)x(x-4)=2-8x;(3)x-3=4(x-3)2.
方程=3x的解为( ).
A. 0 B. C. D. 0,
某市2014年平均房价为每平方米8000元,2016年平均房价降到每平方米7000元,设这两年平均房价年平均降低率为x,根据题意,下面所列方程正确的是( )
A. 8000(1+x)2=7000 B. 8000(1-x)2=7000
C. 7000(1-x)2=8000 D. 7000(1+x)2=8000
下列计算正确的是( )
A. x2•x3=x6 B. (x2)3=x5 C. x2+x3=x5 D. x6÷x3=x3
如图,AB∥CD,FE⊥DB,垂足为E,∠1=50°,则∠2的度数是( )
A. 60° B. 50° C. 40° D. 30°