题目内容
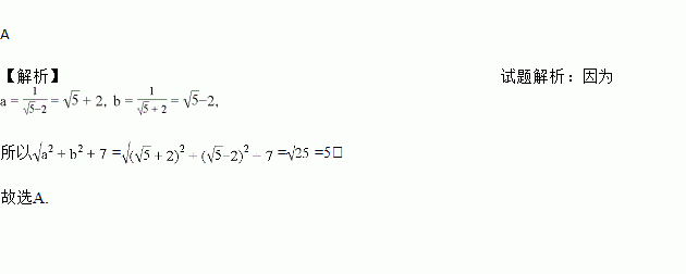
已知,,则的值为( )
A. 5 B. 6 C. 3 D. 4
下面说法中不正确的是( )
A. 6是36的平方根 B. -6是36的平方根
C. 36的平方根是±6 D. 36的平方根是6
已知O为平行四边形ABCD对角线的交点,△AOB的面积为1,则平行四边形的面积为()
A. 1 B. 2 C. 3 D. 4
已知a、b为有理数,m、n分别表示的整数部分和小数部分,且amn+bn2=1,则2a+b=_________.
已知a+b=﹣8,ab=8,则式子的值为( )
A. B. C. D.
八年级(3)班同学要在广场上布置一个矩形的花坛,计划用红花摆成两条对角线,如果一条对角线用了38盆红花,还需要从花房运来多少盆红花?为什么?如果一条对角线用了49盆呢?
如图,在矩形ABCD中,AF⊥BD于E,AF交BC于点F,连接DF,则图中面积相等但不全等的三角形共有( )
A. 2对 B. 3对 C. 4对 D. 5对
如图,在三角形纸片ABC中,BC=3,AB=6,∠BCA=90°.在AC上取一点E,以BE为折痕,使AB的一部分与BC重合,点A与BC延长线上的点D重合,则DE的长度为( )
A. 6 B. 3 C. 2 D.
代数式的最大值是__________.