题目内容
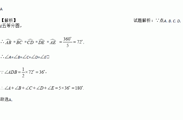
如图是中国共产主义青年团团旗上的图案,点A、B、C、D、E五等分圆,则∠A+∠B+∠C+∠D+∠E的度数是( )
A. 180° B. 150° C. 135° D. 120°
如图,直线AB、CD与直线EF相交于E、F,∠1=105°,当∠2=________时,能使AB∥CD.
甲车行驶30千米与乙车行驶40千米所用时间相同,已知乙车每小时比甲车多行驶15千米,设甲车的速度为x千米/小时,依题意列方程正确的是( )
A. B. C. D.
如图,⊙O的直径CD垂直弦AB于点E,且CE=2,DE=8,则AB的长为( )
A. 2 B. 4 C. 6 D. 8
如图,已知AB是⊙O的直径,AD ∥ OC弧AD的度数为80°,则∠BOC=_________.
如图,在平面直角坐标系xOy中,A、B为x轴上两点,C、D为y轴上的两点,经过点A、C、B的抛物线的一部分c1与经过点A、D、B的抛物线的一部分c2组合成一条封闭曲线,我们把这条封闭曲线成为“蛋线”.已知点C的坐标为(0,﹣ ),点M是抛物线C2:y=mx2﹣2mx﹣3m(m<0)的顶点.
(1)求A、B两点的坐标;
(2)“蛋线”在第四象限上是否存在一点P,使得△PBC的面积最大?若存在,求出△PBC面积的最大值;若不存在,请说明理由;
(3)当△BDM为直角三角形时,求m的值.
解方程:
1.(I)
2.(II)
3.(III)
如图所示,折叠长方形一边AD,点D落在BC边的点F处,已知BC=10厘米,AB=8厘米,求FC的长。
方程组的解的情况是( )
A.一组解
B.两组解
C.无解
D.无数组解