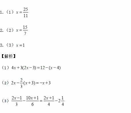
题目内容
解方程:
1.(I)
2.(II)
3.(III)
如图,点M在∠AOB的边OB上.
(1)过点M画线段MC⊥AO,垂足是点C;
(2)过点C画直线EF∥OB;
(3)∠AOB的余角是___.
如图,将半径为2 cm的圆形纸片折叠后,圆弧恰好经过圆心O,则折痕AB=________.
如图是中国共产主义青年团团旗上的图案,点A、B、C、D、E五等分圆,则∠A+∠B+∠C+∠D+∠E的度数是( )
A. 180° B. 150° C. 135° D. 120°
如图,四边形ABCD是平行四边形,点A(1,0),B(4,1),C(4,3),反比例函数y=的图象经过点D,点P是一次函数y=mx+3﹣4m(m≠0)的图象与该反比例函数图象的一个公共点;
(1)求反比例函数的解析式;
(2)通过计算说明一次函数y=mx+3﹣4m的图象一定过点C;
(3)对于一次函数y=mx+3﹣4m(m≠0),当y随x的增大而增大时,确定点P的横坐标的取值范围,(不必写过程)
已知a﹣=3,那么a2+=_____.
为了分析某班在四月调考中的数学成绩,对该班所有学生的成绩分数换算成等级
统计结果如图所示,,下列说法:①该班B等及B等以上占全班60% ②D等有4人,没有
得满分的(按120分制) ③成绩分数(按120分制)的中位数在第三组 ④成绩分数(按
120分制)的众数在第三组,其中正确的是( )
A、①② B、③④ C、①③ D、①③④
如图,菱形ABCD的两条对角线相交于点O,若AC=6,BD=4,则菱形ABCD的周长是 ( )
A. 24 B. 16 C. D.
直角三角形的两边长分别为16和12,则此三角形的外接圆的半径是 .