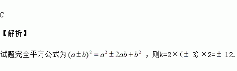
题目内容
如果9a2﹣ka+4是完全平方式,那么k的值是( )
A.﹣12 B.6 C.±12 D.±6
某中学要在操场的一块长方形土地上进行绿化,已知这块长方形土地的长为5m,宽为4m.
(1)求该长方形土地的面积(精确到0.1 m2);
(2)如果绿化该长方形土地每平方米的造价为180元,那么绿化该长方形土地所需资金约为多少元?
折叠矩形ABCD的一边AD,使点D落在BC边的F点处,若AB=8cm,BC=10cm,求EC的长.
当x=_____时,分式没有意义.
在直角坐标系x0y中,已知A(1,1),在x轴上确定点P,使△AOP为等腰三角形,则符合条件的点P共有( )个
A. 1个 B. 2个 C. 3个 D. 4个
下列微信按钮图标中,是轴对称图形的是( )
A. B. C. D.
如图,把抛物线y=x2平移得到抛物线m,抛物线m经过点A(﹣6,0)和原点O(0,0),它的顶点为P,它的对称轴与抛物线y=x2交于点Q,则图中阴影部分的面积为 ▲ .
把抛物线 y=x2+1 向右平移3个单位,再向下平移2个单位,得到抛物线( )
A. y=(x+3)2﹣1 B. y=(x+3)2+3
C. y=(x﹣3)2﹣1 D. y=(x﹣3)2+3
一元二次方程﹣x2+2x=0的解是_____.