题目内容
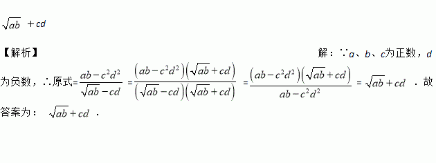
已知a、b、c为正数,d为负数,化简=______.
同时使不等式与成立的所有整数积是 ( )
A. 12 B. 3 C. 7 D. 24
如图,菱形ABCD的对角线相交于点上一动点P从点C出发,沿CA方向以的速度向A运动,设点P运动时间为当t等于时, 是直角三角形.
A. B. 4s C. 或 D. 4s或
下列事件中,哪些是确定事件?哪些是不确定事件?哪些是必然事件?哪些是不可能事件?
(1)上海每年都有人出生.
(2)掷一枚均匀的骰子,3点朝上.
(3)你将长到4 m.
(4)15道选择题全选A.
(5)你最喜欢的篮球队将获得CBA冠军.
(6)打开电视,正在播电视剧.
(7)任买一张足球彩票,中一等奖.
已知 m 是的小数部分,n是的整数部分,求(m-n)2的值.
不改变根式的大小,把中根号外的因式移到根号内正确的结果是( )
A. B. C. - D.
计算:3÷的结果是 ( )
A. B. C. D.
设a,b为实数,且满足(a–3)2+(b–1)2=0,求的值.
如图是同一时刻学校里一棵树和旗杆的影子,如果树高为3米,测得它的影子长为1.2米,旗杆的高度为5米,则它的影子长为( )
A. 4米 B. 2米 C. 1.8米 D. 3.6米