题目内容
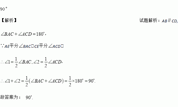
如图:AB∥CD,AE平分∠BAC,CE平分∠ACD,则∠1+∠2=_____.
计算10ab3÷5ab的结果是_____.
A,B两地被大山阻隔,若要从A地到B地,只能沿着如图所示的公路先从A地到C地,再由C地到B地.现计划开凿隧道A,B两地直线贯通,经测量得:∠CAB=30°,∠CBA=45°,AC=20km,求隧道开通后与隧道开通前相比,从A地到B地的路程将缩短多少?(结果精确到0.1km,参考数据: ≈1.414, ≈1.732)
要组织一次篮球邀请赛,参赛的每个队之间都要比赛一场,计划安排15场比赛,设比赛组织者应邀请x个队参赛,则x满足的关系式为( )
A. x(x+1)=15 B. x(x﹣1)=15 C. x(x+1)=15 D. x(x﹣1)=15
小明在踢足球时把一块梯形ABCD的玻璃的下半部分打碎了,若量得上半部分∠A=123,∠D=105,你能知道下半部分的两个角∠B和∠C的度数吗?请说明理由.
如图,直线AB、CD相交于点O,OE⊥AB,则下列说法错误的是( )
A. ∠AOC与∠COE互为余角 B. ∠COE与∠BOE互为补角
C. ∠BOD与∠COE互为余角 D. ∠AOC与∠BOD是对顶角
最小的正有理数是( )
A. 0 B. 1 C. -1 D. 不存在
如图所示,若∠1=25°,则∠2=_______,∠3=______,∠4=_______.
下列数轴上的点都表示实数,其中,一定满足的是( ).
A. ①③ B. ②③ C. ①④ D. ②④