题目内容
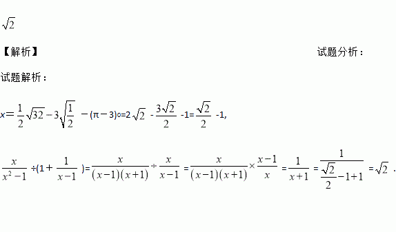
先化简,再求值:
÷(1+
),其中x=
-(π-3)0.
练习册系列答案
相关题目
现有甲、乙两家农副产品加工厂到快餐公司推销鸡腿,两家鸡腿的价格相同,品质相近.快餐公司决定通过检查鸡腿的质量来确定选购哪家的鸡腿.检查人员从两家的鸡腿中各随机抽取15个,记录它们的质量(单位:g)如表所示.
质量(g) | 73 | 74 | 75 | 76 | 77 | 78 |
甲的数量 | 2 | 4 | 4 | 3 | 1 | 1 |
乙的数量 | 2 | 3 | 6 | 2 | 1 | 1 |
根据表中数据,回答下列问题:
(1)甲厂抽取质量的中位数是 g;乙厂抽取质量的众数是 g.
(2)如果快餐公司决定从平均数和方差两方面考虑选购,现已知抽取乙厂的样本平均数
乙=75,方差
≈1.86.请你帮助计算出抽取甲厂的样本平均数及方差(结果保留小数点后两位),并指出快餐公司应选购哪家加工厂的鸡腿?