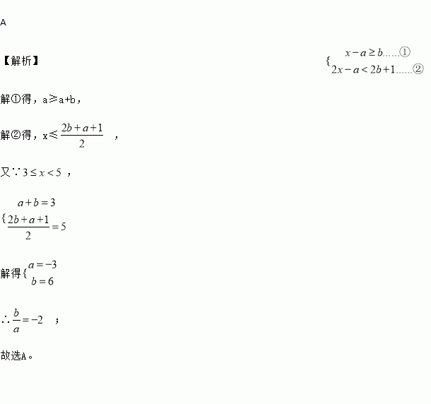
题目内容
已知关于的不等式组的解集为3≤<5,则的值为( )
A. -2 B. C. -4 D.
化简+-的结果为( )
A. 0 B. 2 C. -2 D. 2
在平面直角坐标系中,点(2,-3)关于x轴对称的点的坐标是___________.
函数y=kx+b和函数y=ax+m的图像如图所示,求下列不等式(组)的解集
(1)kx+b<ax+m 的解集是
(2)的解集是
(3)的解集是
(4)的解集是
铁路部门规定旅客免费携带行李箱的长宽高之和不超过160cm,某厂家生产符合该规定的行李箱,已知行李箱的高为30cm,长与宽之比为3:2,则该行李箱长度的最大值是 cm.
下列命题中,真命题是( ).
(A)周长相等的锐角三角形都全等; (B) 周长相等的直角三角形都全等;
(C)周长相等的钝角三角形都全等; (D) 周长相等的等腰直角三角形都全等.
先化简再求值:
已知:,求代数式的值.
按四舍五入法,对4.6492(精确到0.01)取近似数,下列答案中正确的是( )
A. 4.6 B. 4.65 C. 4.640 D. 4.64
如图,已知AB∥CD,点E,F在直线AB,CD上,EG平分∠BEF交CD于点G,∠EGF=64°,那么∠AEF的度数为__.