题目内容
(共计8分)计算:
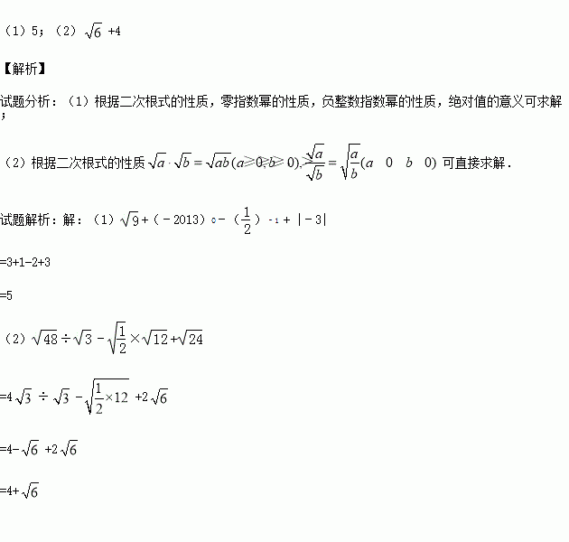
(1)+(﹣2013)0﹣()﹣1+|﹣3|
(2)÷﹣×+.
因式分【解析】a2-9= .
(8分)如图,在四边形ABCD中,ABBC,AB=1,BC=2,CD=2,AD=3,求四边形ABCD的面积.
下列各组数中,以a,b,c为边的三角形不是直角三角形的是( )
A.a=1.5 b=2 c=3
B.a=7 b=24 c=25
C.a=6 b=8 c=10
D.a=3 b=4 c=5
(10分)已知:如图,在四边形ABCD中,AB∥CD,E,F为对角线AC上两点,且AE=CF,DF∥BE.
求证:四边形ABCD为平行四边形.
反比例函数y=的图象有一支位于第一象限,则常数a的取值范围是
如图,O是坐标原点,菱形OABC的顶点A的坐标为(﹣3,4),顶点C在x轴的负半轴上,函数y=(x<0)的图象经过顶点B,则k的值为( )
A.-12 B.-27 C.-32 D.-36
如图,∠A=65°,∠B=75°,将纸片的一角折叠,使点C落在△ABC外,若∠2=20°则∠1的度数为 度.
已知函数中自变量的取值范围是( ).
A. B. C. D.