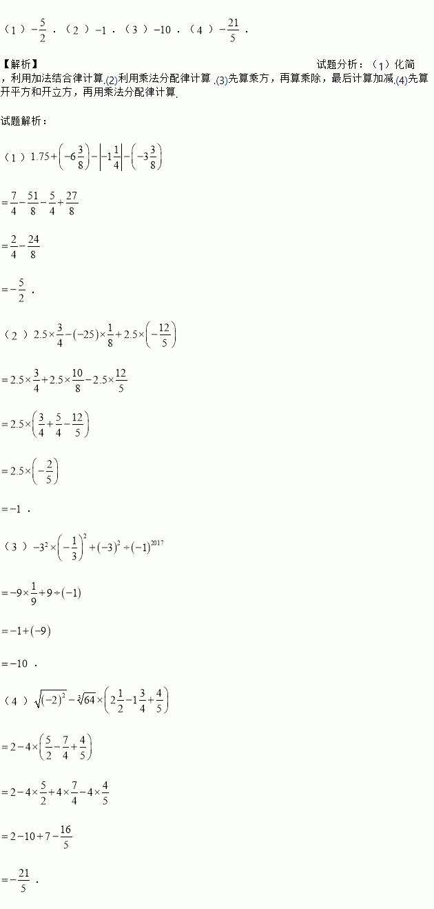
计算:

(1)5x(2x2-3x+4);

(2)20172-2018×2016;

(3)

(4)(a+b)(a-b)+(a+b)2-2a2.

(1) 10x3-15x2+20x;(2) 1;(3) a2x2-ax;(4) 2ab. 【解析】试题分析:(1)利用单项式乘多项式的法则进行计算即可; (2)把2018写成(2017+1),2016写成(2017-1),先利用平方差公式计算,然后再去括号计算加减法即可; (3)利用多项式除以单项式的法则进行计算即可; (4)先利用平方差公式和完全平方公式计算乘法和乘方,然...
复制答案 考点分析: 相关试题推荐

如图,已知AB∥DE,∠ABC=75°,∠CDE=150°,则∠BCD的度数为____.

查看答案

如图,直线AB与直线CD交于点O,OE⊥AB,∠DOF=90°,OB平分∠DOG,有下列结论:①当∠AOF=60°时,∠DOE=60°;②OD为∠EOG的平分线;③与∠BOD相等的角有三个;④∠COG=∠AOB-2∠EOF.其中正确的结论是________(填序号).

 

查看答案

已知(a-2b)2=9,(a+2b)2=25,则a2+4b2=________.

查看答案

如图反映的过程是:小刚从家去菜地浇水,又去青稞地锄草,然后回家.已知菜地与青稞地的距离为a千米,小刚在青稞地锄草比在菜地浇水多用了b分钟,则a,b的值分别为__________.

查看答案

调皮的弟弟把玲玲的作业本撕掉了一角,留下一道残缺不全的题目,如图所示,请你帮她推测出被除式等于______________.

查看答案 试题属性
  • 题型:解答题
  • 难度:中等

Copyright @ 2008-2013 满分5 学习网 ManFen5.COM. All Rights Reserved.答案无忧

与-3的和为0的有理数是( )

A. -3 B. 3 C. D.

B 【解析】根据相反数和为零可得与?3的和为0的有理数是3, 故选:B.
复制答案 考点分析: 相关试题推荐

已知x≠1,(1+x)(1-x)=1-x2,(1-x)(1+x+x2)=1-x3,(1-x)(1+x+x2+x3)=1-x4.

(1)根据以上式子计算:

①(1-2)×(1+2+22+23+24+25);

②2+22+23+…+2n(n为正整数);

③(x-1)(x99+x98+x97+…+x2+x+1).

(2)通过以上计算,请你进行下面的探索:

①(a-b)(a+b)=____________;

②(a-b)(a2+ab+b2)=____________;

③(a-b)(a3+a2b+ab2+b3)=____________.

查看答案

一项工程,甲、乙两公司合做,12天可以完成,共需付工费102000元;如果甲、乙两公司单独完成此项公程,乙公司所用时间是甲公司的1.5倍,乙公司每天的施工费比甲公司每天的施工费少1500元。

(1)甲、乙公司单独完成此项工程,各需多少天?

(2)若让一个公司单独完成这项工程,哪个公司施工费较少?

查看答案

如图,点E,F在BC上,BE=CF,∠A=∠D,∠B=∠C,AF与DE交于点O.

(1)求证:AB=DC;

(2)试判断△OEF的形状,并说明理由.

查看答案

△ABC在平面直角坐标系中的位置如图所示.A(2,3),B(3,1),C(﹣2,﹣2)三点在格点上.

(1)作出△ABC关于y轴对称的△A1B1C1;

(2)直接写出△ABC关于x轴对称的△A2B2C2的各点坐标;

(3)求出△ABC的面积.

查看答案

先化简,再求值: ,其中a=

查看答案 试题属性
  • 题型:单选题
  • 难度:简单

Copyright @ 2008-2013 满分5 学习网 ManFen5.COM. All Rights Reserved.答案无忧

如图,从边长为a的正方形中去掉一个边长为b的小正方形,然后将剩余部分剪开后拼成一个长方形,上述操作能验证的等式是(  )

A. (a+b)(a-b)=a2-b2 B. (a-b)2=a2-2ab+b2

C. (a+b)2=a2+2ab+b2 D. a2+ab=a(a+b)

A 【解析】由剪拼前后面积不变可知大正方形的面积-小正方形的面积=矩形的面积, 其中大正方形的面积-小正方形的面积=a2-b2, 矩形的面积=(a+b)(a-b), 故a2-b2=(a+b)(a-b). 故选A.
复制答案 考点分析: 相关试题推荐

如果分式的值等于0,那么( )

A. B. C. D.

查看答案

计算的结果是(  )

A. ﹣3 B. 3 C. 7 D. 4

查看答案

下列根式中,不能与合并的是 ( )

A. B. C. D.

查看答案

若x2﹣kxy+9y2是一个完全平方式,则k的值为(  )

A. 3 B. ±6 C. 6 D. +3

查看答案

下列运算正确的是(  )

A. 3x2+2x3=5x5 B. (π﹣3.14)0=0 C. 3﹣2=﹣6 D. (x3)2=x6

查看答案 试题属性
  • 题型:单选题
  • 难度:简单

Copyright @ 2008-2013 满分5 学习网 ManFen5.COM. All Rights Reserved.答案无忧

违法和不良信息举报电话:027-86699610 举报邮箱:58377363@163.com

精英家教网