题目内容

如图,半径为2的⊙C与x轴的正半轴交于点A,与y轴的正半轴交于点B,点C的坐标为(1,0).若抛物线过A、B两点.
(1)求抛物线的解析式;
(2)在抛物线上是否存在点P,使得∠PBO=∠POB?若存在,求出点P的坐标;若不存在说明理由;
(3)若点M是抛物线(在第一象限内的部分)上一点,△MAB的面积为S,求S的最大(小)值.

解:(1)如图1,连接OB。

∵BC=2,OC=1,∴OB=
∴B(0,)。
将A(3,0),B(0,)代入二次函数的表达式,
 ,解得: 。
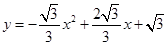
∴抛物线的解析式为
(2)存在。如图2,作线段OB的垂直平分线l,与抛物线的交点即为点P。

∵B(0,),O(0,0),
∴直线l的表达式为.代入抛物线的表达式,
;解得
∴P()。
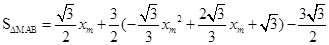
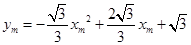
(3)如图3,作MH⊥轴于点H。设M( ),

则S△MAB=S梯形MBOH+S△MHA﹣S△OAB
=
=

 
= 。
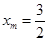
∴当时,取得最大值,最大值为

解析

练习册系列答案
相关题目

违法和不良信息举报电话:027-86699610 举报邮箱:58377363@163.com

精英家教网