题目内容
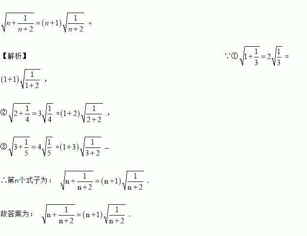
观察下列各式:①,②,③,……请用含的式子写出你猜想的规律:___________________________
二元一次方程组 的正整数解有( )组解
A. 0 B. 3 C. 4 D. 6
如图所示,在△ABC中,D是BC边上一点,∠1=∠2,∠3=∠4,∠BAC=63°,求∠DAC的度数.
一个正n边形的每个外角均为40°,则n=( )
A. 6 B. 7 C. 8 D. 9
阅读下面问题:
;
.
(1)求的值;
(2)求(为正整数)的值;
(3)计算:
若,则的值为_______.
化简的结果为( )
A. B. 30 C. D. 30
一元二次方程的两个根为,且则k=____。
抗洪指挥部的一位驾驶员接到一个防洪的紧急任务,要在限定的时内把一批抗洪物质从物质局运到水库,这辆车如果按每小时30千米的速度行驶在限定的时间内赶到水库,还差3千米,他决定以每小时40千米的速度前进,结果比限定时间早到18分钟,问限定时间是几小时?物质局仓库离水库有多远?