题目内容

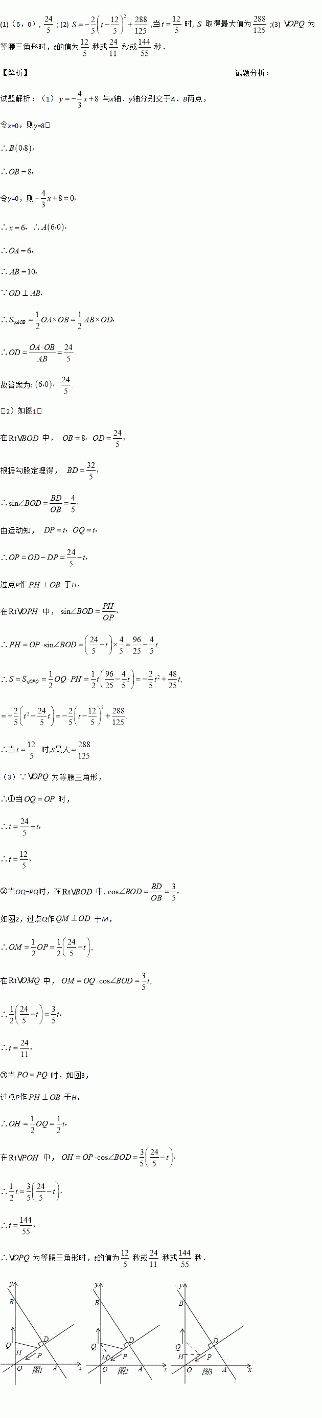
如图,在平面直角坐标系中,O为坐标原点,已知直线y=﹣x+8与x轴、y轴分别交于A、B两点.直线OD⊥直线AB于点D.现有一点P从点D出发,沿线段DO向点O运动,另一点Q从点O出发,沿线段OA向点A运动,两点同时出发,速度都为每秒1个单位长度,当点P运动到O时,两点都停止.设运动时间为t秒.

(1)点A的坐标为_____;线段OD的长为_____.

(2)设△OPQ的面积为S,求S与t之间的函数关系(不要求写出取值范围),并确定t为何值时S的值最大?

(3)是否存在某一时刻t,使得△OPQ为等腰三角形?若存在,写出所有满足条件的t的值;若不存在,则说明理由.

练习册系列答案
相关题目

违法和不良信息举报电话:027-86699610 举报邮箱:58377363@163.com

精英家教网