题目内容
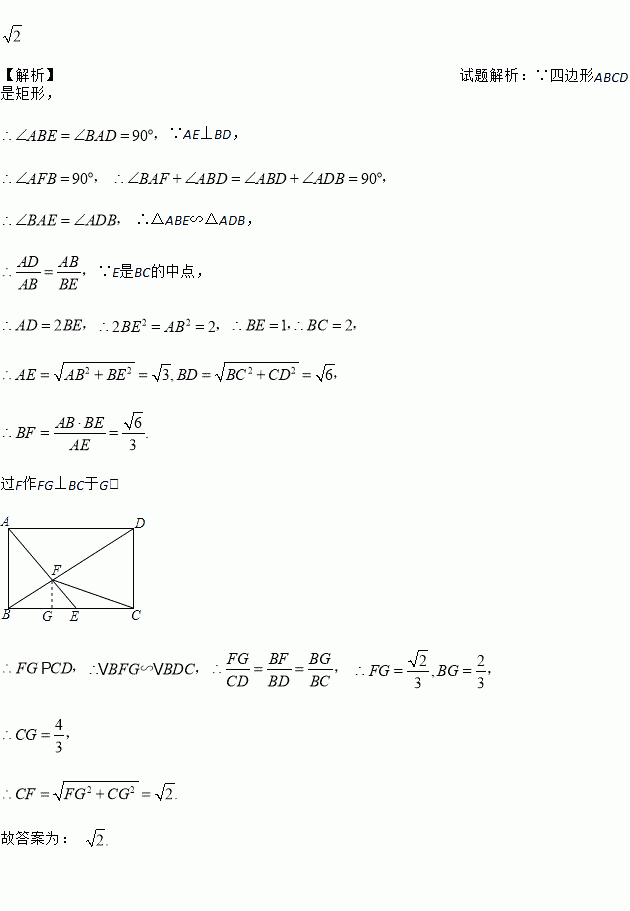
如图,在矩形ABCD中,AB=,E是BC的中点,AE⊥BD于点F,则CF的长是_______.
如图,A,B,C三点在已知的圆上,在△ABC中,∠ABC=70°,∠ACB=30°,D是的中点,连接DB,DC,则∠DBC的度数为( )
A. 30° B. 45° C. 50° D. 70°
如图,在梯形ABCD中,已知AD∥BC,∠B=90°,AB=7,AD=9,BC=12,在线段BC上任取一点E,连接DE,作EF⊥DE,交直线AB于点F.
(1)若点F与B重合,求CE的长;(3分)
(2)若点F在线段AB上,且AF=CE,求CE的长.(5分)
在直角三角形中,各边的长度都扩大3倍,则锐角A的三角函数值
A. 也扩大3倍 B. 缩小为原来的
C. 都不变 D. 有的扩大,有的缩小
如图,学校的实验楼对面是一幢教学楼,小敏在实验楼的窗口C测得教学楼顶部D的仰角为18°,教学楼底部B的俯角为20°,量得实验楼与教学楼之间的距离AB=30m.
(1)求∠BCD的度数.
(2)求教学楼的高BD.(结果精确到0.1m,参考数据:tan20°≈0.36,tan18°≈0.32)
如图,反比例函数y=(x<0)与一次函数y=x+4的图象交于A、B两点的横坐标分别为-3,-1.则关于x的不等式<x+4(x<0)的解集为( )
A. x<-3 B. -3<x<-1 C. -1<x<0 D. x<-3或-1<x<0
如图示,数轴上点A所表示的数的绝对值为( )
A.2 B.﹣2 C.±2 D.以上均不对
方程的解是_________.
如图,在矩形ABCD中,点E、F分别在边AB、BC上,且AE=AB=2,将矩形沿直线EF折叠,点B恰好落在AD边上的点P处,连接BP交EF于点Q,下列结论:①EF=2BE;②△APE≌△QEB;③FQ=3EQ;④SBFPE=8,其中正确的结论是______(只填序号).