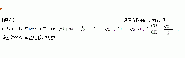
题目内容
宽与长的比是
(约为0.618)的矩形叫做黄金矩形。我们可以用这样的方法画出黄金矩形:作正方形ABCD,分别取AD,BC的中点E,F,连接EF;以点F为圆心,以FD为半径画弧,交BC的延长线与点G;作
,交AD的延长线于点H.则图中下列矩形是黄金矩形的是( )
![]()
A. 矩形ABFE B. 矩形DCGH C. 矩形EFGH D. 矩形EFCD
练习册系列答案
相关题目
题目内容
宽与长的比是
(约为0.618)的矩形叫做黄金矩形。我们可以用这样的方法画出黄金矩形:作正方形ABCD,分别取AD,BC的中点E,F,连接EF;以点F为圆心,以FD为半径画弧,交BC的延长线与点G;作
,交AD的延长线于点H.则图中下列矩形是黄金矩形的是( )
![]()
A. 矩形ABFE B. 矩形DCGH C. 矩形EFGH D. 矩形EFCD