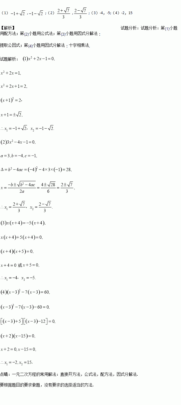
题目内容
解下列方程:(有指定方法必须用指定方法)
(1);(用配方法解)
(2);(公式法)
(3);
(4).
若△ABC的三边长分别为5 cm,12 cm,13 cm,则△ABC的外心到直角顶点的距离是
________.
4的倒数是( )
A. ﹣4 B. 4 C. ﹣ D.
如图,一次函数y1=kx+n(k≠0)与二次函数y2=ax2+bx+c(a≠0)的图象相交于A(﹣1,5)、B(9,2)两点,则关于x的不等式kx+n≥ax2+bx+c的解集为( )
A. ﹣1≤x≤9 B. ﹣1≤x<9 C. ﹣1<x≤9 D. x≤﹣1或x≥9
阅读下列材料:
问题:已知方程x2+x﹣1=0,求一个一元二次方程,使它的根分别是已知方程根的2倍.
【解析】设所求方程的根为y,则y=2x,所以x=,把x=,代入已知方程,
得()2 +﹣1=0.
化简,得y2+2y﹣4=0,
故所求方程为y2+2y﹣4=0
这种利用方程根的代换求新方程的方法,我们称为“换根法”.
请用阅读材料提供的“换根法”求新方程(要求:把所求方程化为一般形式):
(1)已知方程x2+2x﹣1=0,求一个一元二次方程,使它的根分别是已知方程根的相反数,则所求方程为 ;
(2)已知关于x的一元二次方程ax2+bx+c=0(a≠0)有两个不等于零的实数根,求一个一元二次方程,使它的根分别是已知方程根的倒数.
下列命题中,其中真命题的个数是( )
①平面上三个点确定一个圆 ②等弧所对的圆周角相等
③平分弦的直径垂直于这条弦 ④方程的两个实数根之积为1
A. 1 B. 2 C. 3 D. 4
(2015•南通)如图,在⊙O中,半径OD垂直于弦AB,垂足为C,OD=13cm,AB=24cm,则CD= cm.
计算:
(1) (2)
的相反数是( )
A. B. C. D.